Data

Results from our LDBN sampler with m=64 and t=64 Clicking on a picture will open it in full size.

Back to sampler list



Distribution


Distribution of 1024 points

Discrepancy


Discrepancy as a function of the number of points

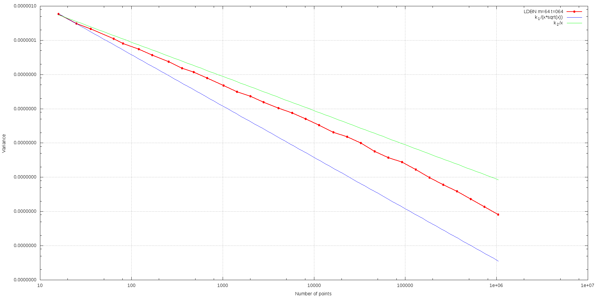
Integration Disk


Variance in Integration over an analytical disk, measured by integrating with several realisations of the point set and computing the variance of those realisations

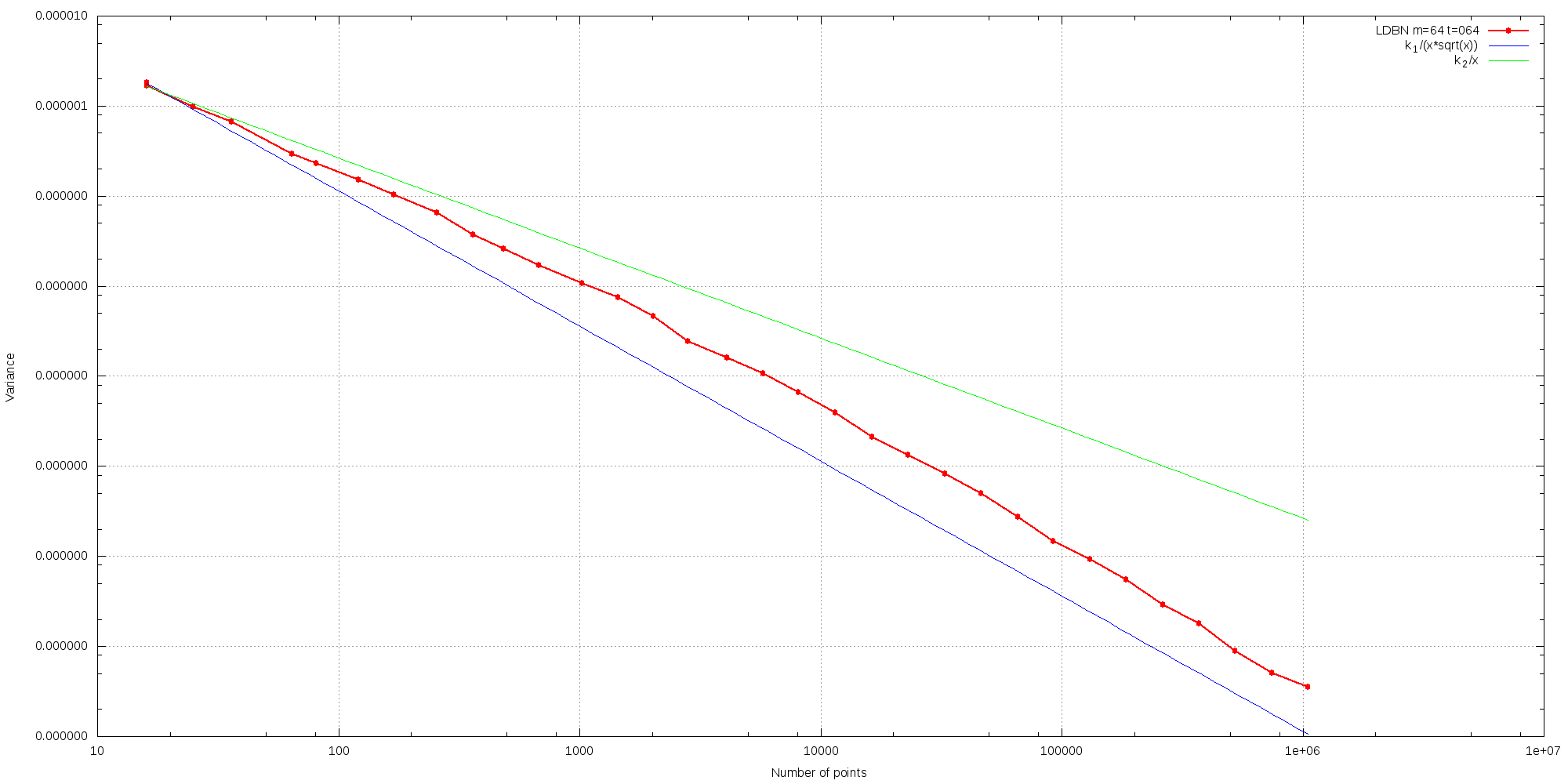
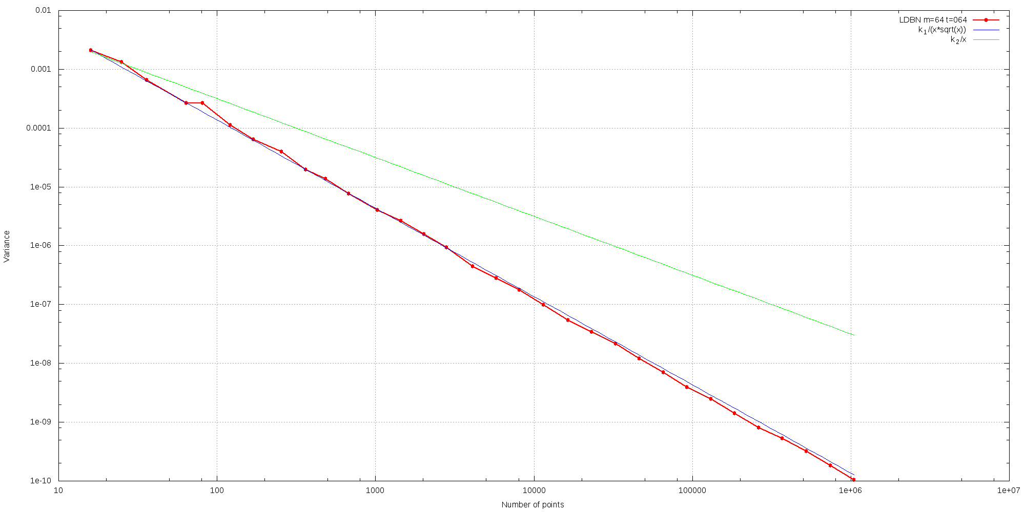
Integration HDR


Variance in Integration over an HDR image with an isotropic spectrum, measured by integrating with several realisations of the point set and computing the variance of those realisations

Variance in Integration over an HDR image with an anisotropic spectrum, measured by integrating with several realisations of the point set and computing the variance of those realisations

Spectral


Fourier spectrum of a pointset of 16k points each

Radial spectrum of a pointset of 16k points each

Anisotropy spectrum a pointset of 16k points each

Aliasing


Zoneplate test sin(x*x + y*y), using 1 sample per pixel and a Mitchell Filter for reconstruction on the domain [0,1).

Zoneplate test sin(x*x + y*y), using 4 sample per pixel and a Mitchell Filter for reconstruction on the domain [0,1).